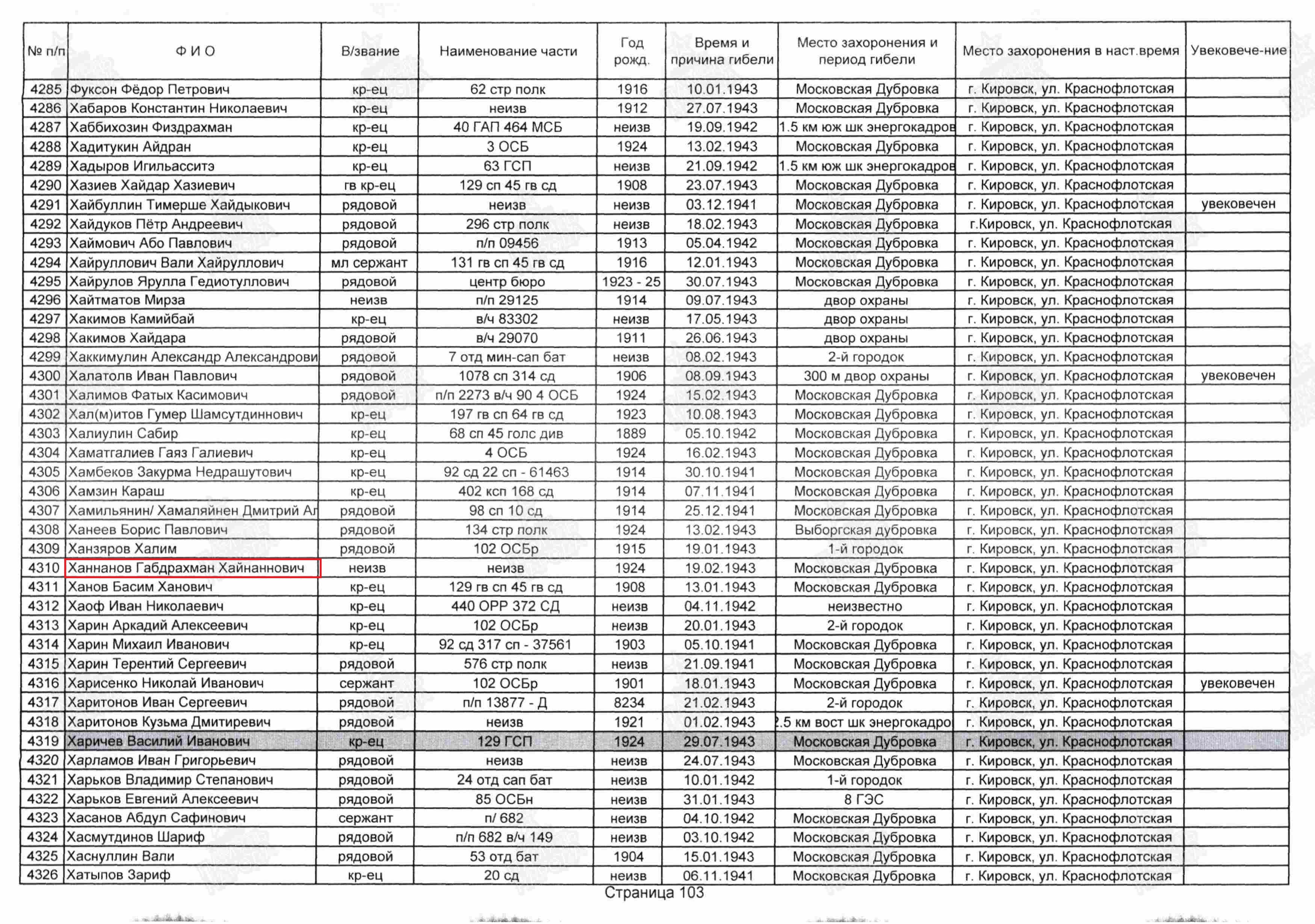
ХАННАНОВ ГАБДРАХМАН ХАЙНАНОВИЧ
Район:
Новошешминский

ХАННАНОВ ГАБДРАХМАН ХАЙНАНОВИЧ родился в 1924 году в с.Верхнее Никиткино Чистопольского кантона ТАССР (ныне с. Тубылгы-Тау Новошешминского района РТ). Мобилизован Новошешминским РВК, кр-ц. Дата смерти: 19.02.43 г. Место захоронения: Ленинградская обл., Кировский р-н,мемориал "Невский Пятачок"